生物恐怖袭击的担忧和现有的室内空气质量的关注加息的技术,可以消除室内生物污染。这些空气净化技术,其中最主要的是过滤,过滤器,以消除微生物的能力,可以更好地理解ASHRAE 52.2-1999空气过滤器,用于测试的新标准。ASHRAE标准提供了一种方法,用于测试,其中包括测量滤波器的性能在0.3-10.0微米大小的范围和分配的最低能效报告值(MERV),这些过滤器的过滤性能。该尺寸范围内包括所有孢子和大多数细菌,但它是必要知道如何以及这些过滤器,将删除小于0.3微米,其中包括所有的病毒和细菌的小的空气中的微生物。无论是额外的测试结果或数学模型可用于确定或估计的微生物的除去率低于MERV过滤器的测试范围。在这篇文章中的变形的过滤的经典模型被描述和用于生成滤波器的性能曲线,可以适合MERV在0.3-10.0微米的尺寸范围内的数据,并且可以向下延伸的大小范围的病毒。再加上空气中的微生物logmean直径的总结,包括在这里,将这些模型使病毒和细菌的过滤率估计,包括那些可能被用作生物恐怖武器。
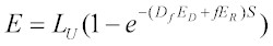
下面的等式定义的整体过滤效率(E)的任何颗粒的大小和组条件。
其中:
S =纤维的投影面积,无量纲
ED =单纤维扩散效率,分数
ER =单纤维拦截效率,分数
F =纤维校正因子(通常= 0.615)
在方程(1)中的元件参数的计算数学上是密集的,但已详细论及在参考文献中,还没有重新寻址(科瓦尔斯基等1999)。的纤维进行调整的校正系数代表理论滤波器模型考虑到过滤器的不均匀性,但也可以使用,以适应特定制造商的过滤器的过滤器的模型。的两个组成部分,扩散和拦截,相结合,产生如在图1中示出的理论性能曲线。
过滤器性能的实际数据相比,有两个问题是很明显的,这一理论的过滤器模型。首先,在0.01微米附近的扩散效率接近100%的效率,并实际上将达到100%的效率,更小的颗粒。它不仅是不可能的,小于0.01微米的粒子将被完全删除,但公布的数据表明,亚微米大小的颗粒去除率分别为永远达不到100%,甚至HEPA过滤器(恩索尔1988年)。
第二个问题是MERV 6-10范围,尤其是在许多过滤器,往往永远无法达到100%的去除效率在高端,相反理论的过滤器模型的预测结果。对于一些制造商的过滤器,的上限的效率往往高原在5-10.0微米的尺寸范围在小于100%。
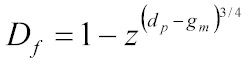
的改性的古典这里提出的模型校正的方式,有利于MERV数据的基础上的过滤器的建模中的这些缺陷。扩散部件,在方程(1)中ED,来校正具有降低的去除效率的因素,作为粒子平均直径的函数。这个扩散效率校正因子,称为Df的,是基于上Gompertz曲线与最小二乘曲线拟合的数据从恩索尔(1988)所设置的常数。此数据和拟合模型的四个DSP额定过滤器的图2中所示。可以观察到这条曲线相比,曲线拟合未经扩散校正因子(科瓦尔斯基等1999),得到的在源提供一种改进的适合。
图2比较了四个DSP额定过滤器模拟与漫射校正因子和与从恩索尔(1988)的数据比较。
的扩散效率的修正系数,称为一个计数器扩散的因素,使用在图2中,以适应模型是如下:
在哪里:
DP =粒径,微米
Ž=常数,1×10-10
克=气体分子尺寸,0.003微米
方程(2)是一个严格的数学曲线拟合到一个有限的数据集,并在这里被呈现不推导。因为它是纯粹的颗粒直径的函数,它可以不被操纵,并且可用于所有过滤器和操作条件是相同的。它数学定义扩散效率向零减小的事实,即作为粒子接近的大小的气体分子。
截取参数的校正因子,称为LU,定义的截取范围的曲线效率的上限。现在,这两个修正因子适用于以下修改后的过滤器模型方程(1):
方程(3)现在,可以使用一个单一的平均纤维直径的基础上的任何过滤器,以适应的性能曲线。这两个修正因素,LU和F提供了很大的灵活性相匹配的模型MERV数据。可以被设定为等于在MERV测试结果以最高的效率因子LU。然后,可以使用该因子f,以作进一步的曲线拟合的必要的调整。应当指出,对于任何给定的MERV评分在过滤器的效率的变化可能是至少+ / -20%的顺序,因此,它可能不是重要的是获得一紧的曲线拟合。可用于手动调整的参数,以适合的曲线,虽然最准确的方法是使用一个最小二乘曲线拟合。
大多数过滤器今天的过滤器使用的过滤器的纤维直径,通常直径在0.6-20微米的范围内,因此,它是优选的模型与多个(即3)的光纤尺寸的过滤器。后一种方法在匹配过滤器的MERV或供应商的数据模型提供了相当大的灵活性。可以使用的参数LU和CD适应以匹配任何制造商的滤波器的特性的曲线。参考源参考其他具体细节建模。
MERV测试结果包括大小介于0.3-10.0微米的颗粒去除率分别为。测试结果通常是效率,在几个过滤条件的初步测试,调整步骤,和一些灰尘的加载过程。这样的数据的一个例子示于表1。的测试的结果被概括为在每个平均直径的复合物的最小效率。
表1比较了四个DSP额定过滤器模拟与漫射校正因子和与从恩索尔(1988)的数据比较。
选择的条件下使用的建模是有点武断,因为初始条件是保守的,但最终的情况可能是更现实的。的复合物的最小数据也可以代表不同的负载条件下,因此,该数据可以被分散或可能不能产生一个自然平滑的曲线。大多数情况下,最低的复合数据将代表初始条件和问题变得毫无意义。
图3示出了过滤器的嵌合几套MERV测试结果的性能曲线。两组数据分别为MERV 8 MERV 13款,并根据这些曲线拟合的平均值。所有的过滤器是基于,初始条件MERV数据。
上文概述的性能曲线代表嵌合MERV测试结果的基础上的特定的制造商的过滤器,曲线。这些不能被认为是普遍适用的其他过滤器相同MERV评级,因为的曲率可以改变相当大的厂商之间的。
图3 MERV过滤器模型与试验数据相比较。
图4示出了从图3a-j的所有MERV模型复合。为MERV 12和MERV 13在图4中的过滤器,这是很明显的性能曲线,甚至可以跨,自MERV评级并不真正定义整个性能曲线,但只有一个单一的曲线上的点。这种相同的效果观察是否曲线的初始条件的基础上或复合最低。

图4复合材料的所有MERV过滤器模型,根据初始条件。
提出的模型一般只能代表的MERV整个阵列的过滤器,因为相当大的差异是可以通过不同的过滤器MERV等级相同。如果它是必要的微生物过滤应用的一个特定的滤波器,用于建模,MERV为该特定的过滤器的数据,应使用作为优先使用任何上述模型的基础。
该过滤器模型应该提供较为准确的估计过滤器的性能在其他的运行速度,虽然没有经验数据的佐证是尚未公布。图5示出了一个MERV 12过滤器在不同的速度操作的例子。显然,渗透在病毒和细菌的大小范围可以很大的影响,在筛选器操作速度的变化。

图5 MERV 12过滤器模型在不同的操作速度。
大气微生物可以除去通过过滤器的速率依赖于过滤器的性能曲线和微生物的平均直径。各微生物的植物的特性的范围内,形成一个对数正态分布的最大值和最小值之间的尺寸。大多数微生物是球形或卵形,可以近似为球形。一些细菌和孢子棒状,可以保守近似代表其最小尺寸的球体。这一规则的例外包括棒状细菌,是小于最易穿透的粒径范围内的过滤器,和细菌,具有大于约3.5的长宽比。高于此宽高比经验校正因子用于调整的最大长度。所有空气传播的病原体和过敏原的的等效logmean直径已被估计,并且这些值都是可从引用(科瓦尔斯基等1999)。
空气中的细菌,真菌和病毒的平均直径都显示在图中,图6a-c上叠加其粒度分布。的微生物包括所有常见的空气中的病原体和过敏原以及一些潜在的生物武器制剂。图6a-c是根据事先计算(科瓦尔斯基等1999),示于图logmean直径。这些logmean直径可用于与以前的MERV过滤器模型估计的去除率。不过,正如前面提到的,这些特定的模型只适用于特定制造商的过滤器上,他们为基础,不一定会产生其他制造商的过滤器模型的准确的预测,即使MERV评级是相同的。

图6-A的平均粒径和粒度分布的病毒。

图6-B (蓝绿色)平均直径和对细菌的大小分布。图6-C (绿色)平均直径及粒径分布的真菌。
本文总结了一个新的过滤器被安装在任何制造商的过滤器MERV数据模型的基础上,有能力的模型。这里介绍的过滤器模型的例子说明什么样的性能,可能来自于不同的MERV额定过滤器。MERV过滤器模型的性能曲线的比较也显示了如何MERV评级是不一定的绝对指标的去除率MERV评级降低的可能,因为一些过滤器去除颗粒在一些大小不等率较高。因此,这里给出的例子不应该被认为是MERV评级的性能曲线,每个代表什么,但一般的时尚,因为可能会发生相当大的变化,为不同制造商的过滤器,即使它们具有相同的过滤等级。这些曲线是基于在一个有限数量的数据集。据预计,随着越来越多MERV数据集,成为曲线可以产生更真实地代表MERV额定过滤器的平均性能。
摘要logmean直径空气中的病原体和过敏原提供的资源,工程师可以用它来选择或为特定的应用程序的大小过滤器。这些可用于结合的过滤器的模型来估计除去率,或者它们可以被用来与特定制造商的滤波器模型开发的新的曲线,以获得更准确的和现实的预测。传统的过滤器模型校正因子,应考虑曲线拟合工具。作者希望完善这一研究和开发一个完整的过滤模式在未来具有更坚实的理论基础。
科瓦尔斯基,WJ,WP Bahnfleth;,:TS Whittam(1999)。“过滤空气微生物:建模和预测。”ASHRAE交易105(2),4-17。http://www.engr.psu.edu/ae/wjk/fom.html。
2 恩索尔,DS,瓦伊纳,AS,汉利,JT,无法无天,PA,拉马纳坦,K.,欧文,MK,山本,T.,和火花,LE(1988年)。“工程室内空气问题的解决方案。”室内空气质素88 /工程室内空气问题,亚特兰大的解决方案。
ASHRAE(1999年)。“ASHRAE标准52.2-1999。”,ASHRAE,亚特兰大。
浙公网安备 33010502006880号 www.hzshenlong.com 版权所有